заДАЧНИК для ДАЧНИКа
Правила форума
Бан за любую информацию об участнике и его родственниках и за оскорбление родственников участника.
Бан за любую информацию об участнике и его родственниках и за оскорбление родственников участника.
Re: заДАЧНИК для ДАЧНИКа
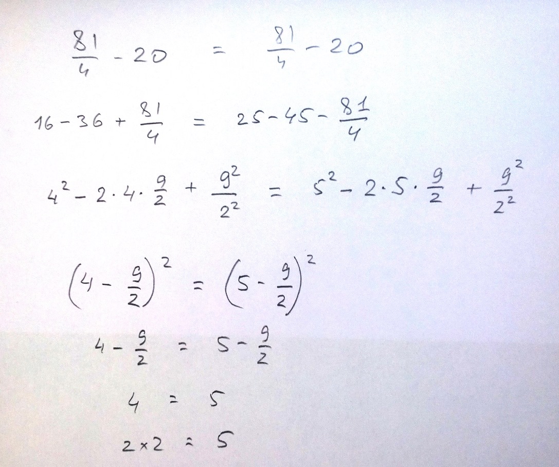
и ваще 2Х2=5, Караул наверное знает как это доказывают...
Оффтоп:
В мире нет идилии - все вокруг рептилии и им ни ласт ни крыльев не дано. ( "Запрещённые барабанщики").
Я с благородного самогона, гониума, сразу открыл для себя яркий мир зиванийки. (Alkasha)
Я с благородного самогона, гониума, сразу открыл для себя яркий мир зиванийки. (Alkasha)
- HappyWoman
- Дачник
- Сообщения: 976
- Зарегистрирован: 15 дек 2017, 04:25
Re: заДАЧНИК для ДАЧНИКа
Не помню, мсье, чтоб мы с Вами пили на фрудершафт или как-то фамильярно сближались.KoshmaRus писал(а):и ваще 2Х2=5, Караул наверное знает как это доказывают...
Оффтоп:
только Вы ,мэм, один хрен не поймёте
Интересны мыслительные процессы в этой задаче. И ответ неверный снова).
Re: заДАЧНИК для ДАЧНИКа
Могу поспорить, что ни один местный мыслитель не сумеет решить эту детскую задачку!HappyWoman писал(а):Так и нет ответа.. Не помню, бились уже над этим или нет тут))
Думаю, и Известный Вам ответ неверен...
"Несомненно, все это скоро кончится –
быстро и, видимо, некрасиво."
Избежать этого нельзя. Но можно все это презирать.
Путриоты! А атеисты тоже в Рай?
быстро и, видимо, некрасиво."
Избежать этого нельзя. Но можно все это презирать.
Путриоты! А атеисты тоже в Рай?
-
Sandor
Re: заДАЧНИК для ДАЧНИКа
Потгму что прааильный уже дан. Если таки считать, что шапка 10 руб
-
Sandor
Re: заДАЧНИК для ДАЧНИКа
было уже тут (во второй строке описка)KoshmaRus писал(а):и ваще 2Х2=5, Караул наверное знает как это доказывают...
Re: заДАЧНИК для ДАЧНИКа
Скоко? Таки...Sandor писал(а):Потгму что прааильный уже дан. Если таки считать, что шапка 10 руб
"Несомненно, все это скоро кончится –
быстро и, видимо, некрасиво."
Избежать этого нельзя. Но можно все это презирать.
Путриоты! А атеисты тоже в Рай?
быстро и, видимо, некрасиво."
Избежать этого нельзя. Но можно все это презирать.
Путриоты! А атеисты тоже в Рай?
- HappyWoman
- Дачник
- Сообщения: 976
- Зарегистрирован: 15 дек 2017, 04:25
Re: заДАЧНИК для ДАЧНИКа
Убыток составил 25 р., ровно то, что продавец возместил соседке. Т.к. сдачу он отдал не из своих денег, а из тех, что соседка разменяла и за шапку положил в кассу 10 р. тоже из разменянных настоящих)Так что по-любому 25 р или 15 и шапка.Cruz писал(а):Скоко? Таки...Sandor писал(а):Потгму что прааильный уже дан. Если таки считать, что шапка 10 руб
Re: заДАЧНИК для ДАЧНИКа
Видно что в развитии большинство осталось на уровне Льва Толстого... в середине 19-го века...
А давайте чуть переформулирую задачку, может что изменится в ответе...
Итак:
А давайте чуть переформулирую задачку, может что изменится в ответе...
Итак:
Крус за 1 евро приобрел у знакомых понтийцев бутыль чачи.
Подкрасив ее марганцовкой, решил это пойло продать Алкаше под видом красной зивании за 10 евро. Проведя, естественно, рекламную компанию про дядюшку Спиртоса, про потенцию, про кроветворность и остальную хрень.
Алкаша согласился, но по природной своей жуликоватости в качестве оплаты достал купюру в 25 евро. Был послан Крусом сразу, но недалеко - к Сандору, чтоб разменял бумашку. Сандор, не особо кумекая в иностранных языках и валютах купюру разменял, на 10, 10 и 5 евро.
Желанная сумма перешла к Крусу, а бутылку и сдачу 15 евро унес довольный Алкаша.
В это время Сандор напряг Гугл и выяснил, что 25 евро не очень распространенная бумашка, если не сказать резче, и поперся к Крусу, требуя замены, на всякий случай пообещав ему, что на том свете организует ему котел хоть и с кипящей смолой, но зато с джакузи!
Что оставалось бедному Крусу... пришлось вернуть 25 евро, уже не одной купюрой.
Попробуйте подсчитать какой убыток понес горе-продавец в результате этой сделки?
"Несомненно, все это скоро кончится –
быстро и, видимо, некрасиво."
Избежать этого нельзя. Но можно все это презирать.
Путриоты! А атеисты тоже в Рай?
быстро и, видимо, некрасиво."
Избежать этого нельзя. Но можно все это презирать.
Путриоты! А атеисты тоже в Рай?
-
Sandor
Re: заДАЧНИК для ДАЧНИКа
тюCruz писал(а):Скоко? Таки...Sandor писал(а):Потгму что прааильный уже дан. Если таки считать, что шапка 10 руб
проведем мысленную линию - бюджет продавца шапки
разменщица сколько дала, столько и забрала. Фальшак не считаем
итого:
минусы: шапка и сдача 15 р = 25, если таки шапку за 10 принять
плюсов нет
ответ ясен?
можно иначе
потерями (обманом) является только фальшивая банкнота
вот сколько она номиналом, на столько и обман
-
Sandor
Re: заДАЧНИК для ДАЧНИКа
не, только по 12 и 13Cruz писал(а):Сандор, не особо кумекая в иностранных языках и валютах купюру разменял, на 10, 10 и 5 евро.
это ж классика )0)
Re: заДАЧНИК для ДАЧНИКа
Таки Вы не бухгалтер...Sandor писал(а):минусы: шапка и сдача 15 р = 25, если таки шапку за 10 принять
плюсов нет
Не стоит шапка для продавца 10 руб!
Но Толстой молодец - он четко обозначил: ПРОДАВЕЦ!
Если хочется получить ответ 25 руб., то надо менять условие задачи.
РС: хотя ХВ один вариант правильно обозначила: 15 и шапка.
РС: ну а уж ответы 40, 50, 60... это за гранью начальной школы...
"Несомненно, все это скоро кончится –
быстро и, видимо, некрасиво."
Избежать этого нельзя. Но можно все это презирать.
Путриоты! А атеисты тоже в Рай?
быстро и, видимо, некрасиво."
Избежать этого нельзя. Но можно все это презирать.
Путриоты! А атеисты тоже в Рай?
-
Sandor
Re: заДАЧНИК для ДАЧНИКа
не поддается вычислению.Cruz писал(а):Видно что в развитии большинство осталось на уровне Льва Толстого... в середине 19-го века...![]()
А давайте чуть переформулирую задачку, может что изменится в ответе...
Итак:Крус за 1 евро приобрел у знакомых понтийцев бутыль чачи.
Подкрасив ее марганцовкой, решил это пойло продать Алкаше под видом красной зивании за 10 евро. Проведя, естественно, рекламную компанию про дядюшку Спиртоса, про потенцию, про кроветворность и остальную хрень.
Алкаша согласился, но по природной своей жуликоватости в качестве оплаты достал купюру в 25 евро. Был послан Крусом сразу, но недалеко - к Сандору, чтоб разменял бумашку. Сандор, не особо кумекая в иностранных языках и валютах купюру разменял, на 10, 10 и 5 евро.
Желанная сумма перешла к Крусу, а бутылку и сдачу 15 евро унес довольный Алкаша.
В это время Сандор напряг Гугл и выяснил, что 25 евро не очень распространенная бумашка, если не сказать резче, и поперся к Крусу, требуя замены, на всякий случай пообещав ему, что на том свете организует ему котел хоть и с кипящей смолой, но зато с джакузи!
Что оставалось бедному Крусу... пришлось вернуть 25 евро, уже не одной купюрой.
Попробуйте подсчитать какой убыток понес горе-продавец в результате этой сделки?
Мало того, что неясно что за купюры были в возврате - "пришлось вернуть 25 евро, уже не одной купюрой", так еще как оценить затраты на марганцовку? И всю ли зиванию отдал Крус Алкаше? или таки отхлебнул чутка? И какой купюрой рассчитался в понтийцами? Так еще и просто неоценимое (в деньгах? в децибелах воплей от мук???) джакузи в кипящей смоле...
Re: заДАЧНИК для ДАЧНИКа
Одно ясно сразу: Алкаша получил 15 евро и бутылку зиваниа с марганцовкой, ибо Крус был математик, а не химик как Алкаша, который через три дня отделил марганцовку через фильтр из труселнй Дежурной, которые она ему настойчиво предлагала долгое время.
Мое спокойствие оскорбляет чувства паникующих
-
Sandor
Re: заДАЧНИК для ДАЧНИКа
Ну тогда смело можно считать полученный состав весьма древним. Выставляйте в Сотби)))
Re: заДАЧНИК для ДАЧНИКа
Это была отвлеченная тема, а вы все конкретизируете. Кто то кое где не поймет шутки ваши и Круза и будет с меня долю требовать за прокат фильтра или продажу бутылки.Sandor писал(а):Ну тогда смело можно считать полученный состав весьма древним. Выставляйте в Сотби)))
Мое спокойствие оскорбляет чувства паникующих
- HappyWoman
- Дачник
- Сообщения: 976
- Зарегистрирован: 15 дек 2017, 04:25
Re: заДАЧНИК для ДАЧНИКа
Alcasha писал(а):Одно ясно сразу: Алкаша получил 15 евро и бутылку зиваниа с марганцовкой, ибо Крус был математик, а не химик как Алкаша, который через три дня отделил марганцовку через фильтр из труселнй Дежурной, которые она ему настойчиво предлагала долгое время.
Re: заДАЧНИК для ДАЧНИКа
Лучше переведите на человеческий часы работы. Я не осилил.
- Вложения
-
- IMG_20180211_071553_259.JPG (35.41 КБ) 11282 просмотра
Милена, покажи личико, бугагааа...
Re: заДАЧНИК для ДАЧНИКа
.
- Вложения
-
- 27458961_1019989041485111_7089872730119007827_n.jpg (73.79 КБ) 11247 просмотров
Мое спокойствие оскорбляет чувства паникующих
Re: заДАЧНИК для ДАЧНИКа
.
- Вложения
-
- 31FE517C-389B-4B99-B948-C3DE4CFF5088.jpeg (63.93 КБ) 10337 просмотров
Мое спокойствие оскорбляет чувства паникующих
Re: заДАЧНИК для ДАЧНИКа
Отвечать надо быстро, не раздумывая и не тратя понапрасну время.
А главное - не мошенничать!
1. Вы участвуете в соревнованиях и обогнали бегуна, занимающего вторую
позицию. Какую позицию вы теперь занимаете?
Ответ: Если вы ответили, что вы теперь первый - то вы абсолютно не
правы.
Вы обогнали второго бегуна и заняли его место, так что вы теперь на
второй позиции.
Попробуйте не ошибиться во втором вопросе.
2. Вы обогнали последнего бегуна, на какой позиции вы теперь находитесь?
Ответ: Если вы ответили на предпоследнем - вы опять абсолютно не правы.
Подумайте. Как можно обогнать бегуна, идущего последним? Если вы бежите
за ним, значит он не последний. Ответ - это невозможно. Получается, что
использование мозга ваша не самая сильная сторона.
Как бы то ни было - вот еще один вопрос. Ничего не пишите и не
используйте калькулятор, и помните - вы должны отвечать быстро.
Возьмите 1000. Прибавьте 40. Прибавьте еще тысячу. Прибавьте 30.
Еще 1000.
Плюс 20. Плюс 1000. И плюс 10. Что получилось?
Ответ 5000? Опять неверно. Правильный ответ 4100. Попробуйте пересчитать
на калькуляторе.
Сегодня точно не ваш день. Но, может быть, получится с последним вопросом.
У отца Мэри есть пять дочерей: 1. Чача 2. Чече 3. Чичи 4 Чочо.
Вопрос: Как зовут пятую дочь? Думайте быстро. Ответ чуть ниже.
Ответ: Чучу? НЕТ! Конечно, ее зовут Мэри. Прочтите еще раз вопрос.
А главное - не мошенничать!
1. Вы участвуете в соревнованиях и обогнали бегуна, занимающего вторую
позицию. Какую позицию вы теперь занимаете?
Ответ: Если вы ответили, что вы теперь первый - то вы абсолютно не
правы.
Вы обогнали второго бегуна и заняли его место, так что вы теперь на
второй позиции.
Попробуйте не ошибиться во втором вопросе.
2. Вы обогнали последнего бегуна, на какой позиции вы теперь находитесь?
Ответ: Если вы ответили на предпоследнем - вы опять абсолютно не правы.
Подумайте. Как можно обогнать бегуна, идущего последним? Если вы бежите
за ним, значит он не последний. Ответ - это невозможно. Получается, что
использование мозга ваша не самая сильная сторона.
Как бы то ни было - вот еще один вопрос. Ничего не пишите и не
используйте калькулятор, и помните - вы должны отвечать быстро.
Возьмите 1000. Прибавьте 40. Прибавьте еще тысячу. Прибавьте 30.
Еще 1000.
Плюс 20. Плюс 1000. И плюс 10. Что получилось?
Ответ 5000? Опять неверно. Правильный ответ 4100. Попробуйте пересчитать
на калькуляторе.
Сегодня точно не ваш день. Но, может быть, получится с последним вопросом.
У отца Мэри есть пять дочерей: 1. Чача 2. Чече 3. Чичи 4 Чочо.
Вопрос: Как зовут пятую дочь? Думайте быстро. Ответ чуть ниже.
Ответ: Чучу? НЕТ! Конечно, ее зовут Мэри. Прочтите еще раз вопрос.
Блажен муж, который не ходит на совет нечестивых и не стоит на пути грешных и не сидит в собрании развратителей,
Псалтирь 1:1 SYNO
http://bible.com/400/psa.1.1.SYNO
Псалтирь 1:1 SYNO
http://bible.com/400/psa.1.1.SYNO
Re: заДАЧНИК для ДАЧНИКа
isandor
Это упражнение от Альцгеймера?
Программирование на начальном этапе: ОТВЕЧАЙТЕ БЫCТРО. А с какой скоростью быстро? "Будете торопить вообще не пойду" Отвечайте быстро из какого это анекдота?
Это упражнение от Альцгеймера?
Программирование на начальном этапе: ОТВЕЧАЙТЕ БЫCТРО. А с какой скоростью быстро? "Будете торопить вообще не пойду" Отвечайте быстро из какого это анекдота?
Мое спокойствие оскорбляет чувства паникующих




